摒弃深度与天生式特征依赖,突破低特征目的跟踪难题:中科君达视界研发的基于空间聚类的MOT手艺—77体育集团

77体育

欢迎会见77体育!

微信官网
招标采购

摒弃深度与天生式特征依赖,突破低特征目的跟踪难题:中科君达视界研发的基于空间聚类的MOT手艺

宣布日期:2025/12/3 浏览次数:658

   1、手艺配景

   多目的运动跟踪(Multi-Object Tracking,MOT)是盘算机视觉领域的主要研究偏向。使命在于一连视频帧中同时检测并关联多个运动目的,输出每个目的的唯一身份ID及随时间转变的轨迹,挑战在于解决“检测-关联”的闭环问题。

   现实应用中常爆发于低特征情形下,如目的同质化、纹理缺失、光照缺乏、目的遮挡等,MOT要领面临检测失效痛点,且无法关联并重修轨迹。

77体育 – 全网最全最有态度的体育赛事直播平台

   为解决痛点,近年来视觉丈量工程师们对古板MOT要领一直举行优化刷新:路径一基于深度学习特征增强MOT,焦点引入深度神经网络自动提取目的的深度特征,并通过团结是非时影象网络模子对目的的运动轨迹和外观特征举行团结建模实现多目的跟踪,优势在于自动处置惩罚大宗数据并学习有用特征,可处置惩罚部分低特征场景下的多目的跟踪使命,但模子泛化能力有限,当训练样本与现实应用场景保存差别时,无法有用检测。

   路径二天生式特征增强MOT, 焦点引入天生式模子增强检测目的的视觉特征,如天生与现实目的相似但具有差别视角、光照条件的新图像,团结天生特征与原始特征,用于后续目的匹配与轨迹关联。该要领一定水平上解决低特征情形下多目的跟踪难题,但面临盘算本钱高、对天生模子质量敏感以及实时性困局。

   2、手艺路径

   千眼狼算法工程师们,基于检测目的的“三维运动一连性”较“二维外观差别”更具稳固性的理论条件,团结高速摄像手艺,研发一种“基于空间聚类的低特征场景MOT”手艺,通过“几何重修→时空聚类→物理验证→轨迹纠错”四大手艺办法,从数据源头解决特征缺失,规避“深度学习特征增强MOT”和“天生特征增强MOT”对特征的依赖,且空间聚类和投影操作盘算轻量,可包管盘算效率与实时性,实现低特征场景下的检测-关联完善闭环。

   3、要害突破

   千眼狼围绕检测路径与关联路径,实现四大概害手艺环节突破:

   ·几何重修:基于极线约束的双视角匹配与三维重修,即使用左右高速摄像机的内加入外参盘算基础矩阵F,并通过极线几何约束筛选匹配点对,最终使用双目几何三角化重修获得3D点云,包括噪声和离群点。

77体育 – 全网最全最有态度的体育赛事直播平台

   · 时空聚类:追踪多帧图像中的三维点位置构建三维轨迹,再按空间一致性与帧时间一连性对三维点举行分簇,合并距离靠近、转变趋势一致的点形成一连轨迹,删除一连帧中泛起次数小于阈值的“短轨迹”,以剔除不稳固或无意泛起的噪声点,获得起源筛选后的有用三维轨迹荟萃。

77体育 – 全网最全最有态度的体育赛事直播平台

   · 物理验证:将三维轨迹重投影到左右高速摄像机图像平面,比照左右图像上的投影轨迹,去除重复匹配的轨迹。

77体育 – 全网最全最有态度的体育赛事直播平台

   · 轨迹纠错与重连:通过对轨迹举行三维二次曲线拟合,并盘算现实轨迹点到拟合曲线的误差,标记凌驾误差阈值的异常区间,断开异常轨迹段,再依据轨迹分段的空间位置和时间一连性盘算相似度,对知足条件的轨迹段举行重连并平滑处置惩罚,恢复完整一连轨迹。

77体育 – 全网最全最有态度的体育赛事直播平台

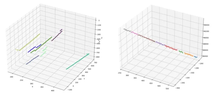
   4、案例验证

   在一项针对数百个快速移动玄色小球举行抛落实验追踪验证中,由于玄色小球外貌颜色简单缺乏显着纹理特征,属于典范低特征场景,通过空间聚类MOT的几何重修手艺,获取了玄色小球准确的位置信息,使用2D投影剔除一对多误匹配要领,提高了轨迹的唯一性和准确性,再进一步通过对轨迹举行拟合剖析识别并修正过失轨迹毗连,增强跟踪效果的稳固性和可靠性。

77体育 – 全网最全最有态度的体育赛事直播平台

   5、结语

   千眼狼“基于空间聚类的MOT手艺”通过团结双视角匹配与三维重修,有用解决了低特征情形下的目的跟踪难题,使用极线约束筛选匹配点对,通过三维重修获取准确位置信息,接纳空间聚类要领优化轨迹,镌汰了误匹配和轨迹断裂问题,具有较强的抗噪能力和轨迹纠错机制,显著提升了跟踪精度和稳固性。中科君达视界工程师们将通过算法优化提高实时性,进一步提升低特征场景下高速运动目的跟踪检测与关联效率。